Validation - Fluid Dynamics 

All-Speed Turbulent Jet Flows

Large Eddy Simulations of All-Speed Turbulent Jet Flows

Keywords

All-speed flow, turbulent jet, large eddy simulation

Introduction

• Validation of the all-speed flow capability in GASFLOW-MPI.
• Numerical study turbulent jet using large eddy simulation turbulence model.

Descriptions

• Turbulent flow at a wide range of Mach numbers may occur during design based accidents (DBA) or severe accidents in nuclear power plants.
• In order to validate the all-speed turbulent flow capability of GASFLOW-MPI, two turbulent jet cases over a broad range of Mach number have been performed.
• The 1st case is a subsonic turbulent jet with Mach number 0.16.
• The 2nd case is a supersonic jet with strong shock wave whose Mach number is 3.2. 

Results

• Detailed turbulence structures of the subsonic jet are captured by LES model (Fig. 1 and Fig. 2).
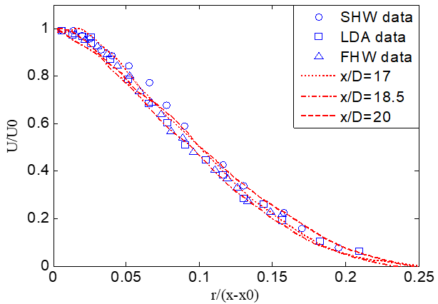
• For subsonic turbulent jet, streamwise velocity profiles in the centerline and Radial direction are agree well with the experimental data (Fig. 3 and Fig. 4).
• The complex shock wave structure could be captured by the 2nd order TVD scheme (Fig. 5).
• Density distribution and Mach number profile are consistent well with the experimental data (Fig. 5 and Fig. 6). 

Mobirise Website Builder

Fig. 1 Instantaneous velocity in r-x plane

Mobirise Website Builder

Fig. 2 Instantaneous vorticity in r-x plane

Mobirise Website Builder

Fig. 3 Time-averaged streamwise velocity in centerline

Mobirise Website Builder

Fig.4 Radial variation of the time-averaged stream wise velocity profiles

Mobirise Website Builder

Fig. 5 Density distribution in r-x plane

Mobirise Website Builder

Fig. 6 Mach number profiles along axis

Summary

• Overall the simulation results over a broad range of Mach number, from subsonic to supersonic are in good agreement with the experimental data.
• The 2nd order TVD Von Leer numerical scheme in GASFLOW-MPI could capture the complex shock wave structure accurately.

Reference

Han Zhang, Yabing Li, Jianjun Xiao, Thomas Jordan, Large eddy simulations of the all-speed turbulent jet flow using 3-D CFD code GASFLOW-MPI, Nuclear Engineering and Design, 328(2018), 134-144.

© 2024 - gfx-global.com         Privacy