Validation - Fluid Dynamics 

Flow over Backward-Facing Step

Direct Numerical Simulation and Large Eddy Simulation of a Flow
over Backward-Facing Step

Keywords

Direct numerical simulation (DNS); large eddy simulation (LES); backward-facing step flow

Introduction

• Reynolds-Averaged Navier-Stokes (RANS) and Large Eddy Simulation (LES) turbulence models have been implemented in the 3-D CFD code GASFLOW.
• Direct Numerical Simulation (DNS) and LES of a flow at low Reynolds number over a backward-facing step are performed using GASFLOW.

Descriptions

• The backward facing step is a well-known turbulence benchmark with relatively complex flow phenomena, such as separation, recirculation and reattachment phenomena (Fig. 1).
• The mesh size in vertical direction is refined to resolve the small-scale turbulence near the wall and at the step (Fig. 2).
• LES model is performed using 1,179,648 meshes, and it is 9,437,184 meshes for DNS. 

Fig. 1 Schematic of a backward-facing step

Fig. 2 Mesh distribution in wall-normal direction

Results

• The eddy behavior is resolved by both the LES and DNS methods, however, the information about eddy structure cannot be provided in the RANS model (Fig. 3 and Fig. 4).
• For LES and DNS, the reattachment location always varies over time in a certain region due to the velocity fluctuation, however, it is not observed in the RANS model (Fig. 3 and Fig. 4).
• The velocity profiles of LES and DNS in three different positions both agree well with the experimental data (Fig. 5).
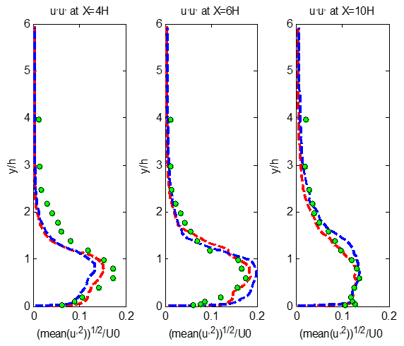
• For the turbulence energy profile, DNS is more accurate than that of the LES, because all the turbulence scale is resolved in DNS (Fig. 6).
• In the corresponding energy spectra, a −5/3 energy decay is observed for a wide range of frequencies, as characteristic for the energy cascade decay in turbulence (Fig. 7 and Fig. 8). 

Mobirise Website Builder

Fig. 3 Velocity distribution for LES method at different times

Mobirise Website Builder

Fig. 4 Velocity distribution for DNS method at different times

Mobirise Website Builder

Fig. 5 Mean velocity profiles at different positions

Mobirise Website Builder

Fig. 6 Turbulent energy profiles at different positions

Mobirise Website Builder

Fig. 7 Frequency spectrum of velocity fluctuations using LES

Mobirise Website Builder

Fig. 8 Frequency spectrum of velocity fluctuations using DNS

Summary

• With the significate development of computing power in advanced parallel version of GASFLOW, the LES and DNS simulations are performed.
• LES and DNS could capture more detailed turbulence information than RANS model.

Reference

Han Zhang, Jianjun Xiao, John R. Travis, Direct numerical simulation and large eddy simulation of a flow at low Reynolds number over backward-facing step using the CFD code GASFLOW-MPI, NUTHOS-11, Gyeongju, Korea, October 9-13, 2016.

© 2024 - gfx-global.com         Privacy